- Bánh xe Maxwell: Đường kính bánh xe 130 mm, khối lượng: 972g, trục quay dài 370mm, đường kính 12 mm.
- Nam châm điện: 5V-DC, có công tắc ON/OFF để bảo vệ cuộn dây.
- Nguồn điện: 5V DC
- Thanh kim loại thép không gỉ đường kính. 10mm: dài 1000mm có các vạch chia màu đỏ cách nhau 5cm.
- Thanh đỡ, thép không gỉ đường kính 12mm, dài 400mm, có 2 móc treo.
- Kẹp vuông góc (3 pcs)
- Cuộn dây dù (1 coil)
- Giá đỡ gắn tường bằng thép không gỉ (2 pcs)
- Đồng hồ đo thời gian hiện số có cổng quang.
- Thước dây 100cm
- Làm quen với khái niệm bảo toàn năng lượng.
- Xác định moment quán tính của bánh xe maxwell.
- Khảo sát sự chuyển hóa năng lượng từ thế năng sang động năng bao gồm động năng quay và động năng tịnh tiến.







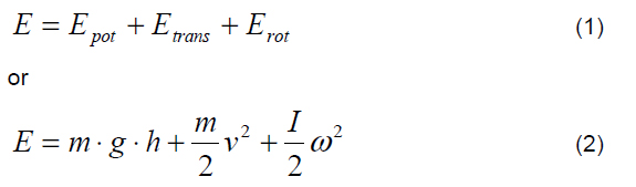
Bộ thí nghiệm bánh xe Maxwell dùng để dạy cho học sinh về sự bảo toàn cơ năng. Khi bánh xe được thả ra, nó sẽ vừa quay vừa chuyển động tịnh tiến xuống dưới, lúc này thế năng Epot sẽ chuyển hóa thành động năng Ekin bao gồm động năng quay Erot ( rotation) và động năng tịnh tiến Etrans (translation). Tổng năng lượng E là không đổi:

I: Moment quán tính của bánh xe Maxwell
h: Độ cao của bánh xe (tính từ trục bánh xe)
g: Gia tốc trọng trường.
m: Khối lượng bánh xe maxwell
v: Vận tốc rơi (hay vận tốc tịnh tiến của trục bánh xe)
ω: Vận tốc góc
Tại thời điểm ban đầu làm mốc (vị trí v = 0 và ω = 0) từ đó bánh xe maxwell bắt đầu rơi xuống. Ta có công thức sau:

Bán kính trục bánh xe là r, thì ta có mối liên hệ giữa vận tốc góc và vận tốc tịnh tiến như sau:
v = ω.r (4)
Do đó, ta có thể tính moment quán tính của bánh xe theo công thức sau:

- Bộ thí nghiệm bánh xe Maxwell được lắp đặt như hình dưới đây:

Thí nghiệm bánh xe Maxwell
- Gắn cổng quang học vào thanh kim loại 1m, sao cho trục bánh xe rơi qua sẽ quét qua mắt hồng ngoại của cổng quang.
- Cắm cổng quang vào jack 1 của bộ đếm thời gian.
- Cắm nam châm điện vào jack 0 của bộ đếm thời gian.
- Nối nguồn điện 5VDC với nam châm điện.
- Buộc dây dù vào bánh xe (như hình trên), sao cho: Độ dài 2 dây bằng nhau, khi quấn lên cao nhất thì chốt của bánh xe Maxwell và chốt của nam châm điện phải tiếp xúc với nhau (dùng ốc để vi chỉnh) như hình dưới:


- Chiều dài dây: <1m.
- Thả bánh xe ra vài lần để ổn định chiều dài của dây.
- Định vị cỏng quang cách mép dưới trục bánh xe Maxwell 5cm (đây là vị trí thứ 1).
- Điều chỉnh cổng quang sao cho trục bánh xe không va vào cổng quang (mẹo: sau khi thả bánh xe ra, dùng tay hơi chạm vào dây để tránh rung lắc)
Tiến hành thí nghiệm:
- Bật ON đồng hồ đo thời gian và chọn Mode 3
- Bật ON nam châm điện.
- Quấn dây vào bánh xe cho dính vào nam châm điện.
- Gắn cổng quang điện vào vị trí 1 (cách mép dưới trục bánh xe Maxwell 5cm)
- Ấn Start/Stop để bánh xe rơi xuống, khi rơi qua cổng quang ta ấn Start/Stop lần nữa để hiển thị kết quả bao gồm: Thời gian rơi từ nam châm điện xuống cổng quang (t) và thời gian trục bánh xe quét qua cổng quang (Δt).
- Mỗi vị trí ta đo 3 lần lấy giá trị trung bình. Lưu ý: Loại bỏ hay đo lại những giá trị đáng nghi ngờ.
- Hạ cổng quang xuống vị trí 2 cách mép dưới trục bánh xe 10cm, làm tương tự với các vị trí thấp hơn.
- Lập bảng số liệu như hình dưới: Vận tốc rơi tức thời của bán xe Maxwell được tính bởi công thức:

trong đó: d = 12mm: dường kính trục

Vẽ đồ thị h và v phụ thuộc vào thời gian t như hình dưới:

Dùng kỹ thuật Add Trendline (trong excel) để xem đồ thị là dạng hàm số nào, ta nhận thấy rằng: đồ thị h = f(t) là 1 parabol, và v = f(t) là 1 đường thẳng.
Từ phương trình (5) ta tính được moment quán tính I của bánh xe như sau:

Giá trị trung bình là:

Từ phương trình (4) ta tính vận tốc góc, từ đó ta tính các năng lượng: Epot, Erot and Etrans.

Vẽ đồ thị sự phụ thuộc của năng lượng vào thời gian:

Động năng tịnh tiến rất nhỏ, do đó động năng của bánh xe Maxwell chủ yếu là động năng quay.
Động năng của bánh xe Ekin là tổng động năng quay và động năng tinh tiến, do đó ta có bảng số liệu bên trên:

Vẽ đồ thị Thế năng và động năng của bánh xe, ta có nhận xét: Thế năng gần như chuyển hoàn toàn sang động năng, điều đó khẳng định sự bảo toàn cơ năng của thí nghiệm bánh xư Maxwell.
