Bộ thí nghiệm xác định hệ số căng mặt ngoài của chất lỏng được chúng tôi sản xuất bao gồm 2 loại:
Bao gồm:
+ Bàn nâng thí nghiệm (1 cái)
+ Chân đế (1 cái)
+ Cọc đỡ 60cm (1 cái)
+ Thanh ngang 20cm (1 cái)
+ Khóa vuông góc (1 cái)
+ Vòng nhôm (đường kính ngoài 47mm, đường kính trong 44.7mm)
+ Đĩa thủy tinh trong suốt (1 cái)
+ Cốc đong (1 cái)

Bao gồm:
+ Chân đế và gá đỡ (1 cái)
+ Cơ cấu dịch chuyển (1 cái)
+ Vòng nhôm (đường kính ngoài 47mm, đường kính trong 44.7mm)
+ Đĩa thủy tinh trong suốt (1 cái)
+ Cốc đong (1 cái)

Cơ sở lý thuyết:
Bề mặt chất lỏng luôn luôn có 1 lực theo phương tiếp tuyến với bề mặt có xu hướng co diện tích bề mặt sao cho nhỏ nhất (do vậy nên giọt nước luôn hình cầu). Lực này được gọi là lực căng bề mặt của chất lỏng.
Có nhiều cách để đo lực căng này, chúng tôi sử dụng cách đo lực căng tác dụng lên 1 vòng kim loại được mài nhẵn.
Nhúng vòng kim loại chạm vào mặt chất lỏng, rồi kéo lên mặt thoáng. Khi đáy vòng vừa được nâng lên trên mặt thoáng, nó không bị bứt ngay ra khỏi chất lỏng: một màng chất lỏng xuất hiện, bám quanh chu vi ngoài và chu vi trong của vòng, có khuynh hướng kéo vòng vào chất lỏng. Lực Fc do màng chất lỏng tác dụng vào vòng đúng bằng tổng lực căng bề mặt của chất lỏng tác dụng lên chu vi ngoài và chu vi trong của vòng.

Tiến hành thí nghiệm:
Thí nghiệm được lắp đặt như hình dưới:

Bước 1: Nhúng vòng kim loại vào nước nóng trên 70 độ trong vòng 5 phút. Rồi thả vào đĩa thủy tinh đựng nước như hình trên. Với mục đích loại bỏ những chất hữu cơ như dầu, mỡ, mồ hôi trên vòng.
Bước 2: Treo lực kế. Đo giá trị lực kế khi treo vòng nhôm. Ghi lại P. Nâng chân đế đỡ đĩa thủy tinh lên sao cho mặt dưới của vòng kim loại ngập xuống mặt nước khoảng 2mm
Bước 3: Hạ chân đế xuống từ từ. Quan sát vòng kim loại và lực kế.
Ghi lại giá trị lớn nhất mà lực kế đo được: F
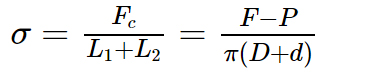
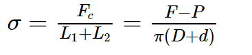
Lực căng bề mặt Fc = F - P.
Dựa vào công thức sau để tính hệ số căng bề mặt:

ở đây: L1, L2 là chu vi trong và ngoài của vòng nhôm; D và d là đường kính ngoài và đường kính trong của vòng.

Bộ thí nghiệm xác định hệ số căng mặt ngoài: Loại 1

Sức căng bề mặt: Vòng nhôm

Sức căng bề mặt: Giá treo lực kế

Sức căng bề mặt: Bàn nâng

Bộ thí nghiệm xác định hệ số căng mặt ngoài: Loại 2

Sức căng bề mặt: cơ cấu dịch chuyển

Sức căng bề mặt: cơ cấu dịch chuyển

Sức căng bề mặt: Vòng nhôm